受干旱和半干旱地区水分的限制,生物土壤结皮与维管植物镶嵌分布格局成为干旱荒漠区重要植被景观。研究表明,微生境的改变,如荒漠灌丛的“肥岛”和“湿岛”效应等,为生物土壤结皮中藓类植物的生长和发育创造了良好的生存空间。非结构性碳水化合物(NSC:包括可溶性糖和淀粉)是植物光合作用和生长发育重要的中间产物,其含量反映了环境变化下植物碳源和碳汇之间的平衡状态。然而,在大空间尺度降水梯度发生变化的情景下,灌丛效应又将如何影响荒漠藓类植物的非结构性碳水化合物含量及组分分配,这种影响是否受到气候环境的调控还缺乏定量研究。对上述问题的深入研究有助于更好的理解藓类植物的碳平衡及其生态适应策略。
针对上述问题,乐发Ⅱ2张元明研究员团队,以古尔班通古特沙漠广泛分布的生物土壤结皮中藓类植物优势物种——齿肋赤藓(Syntrichia caninervis)为研究对象,通过采集不同降水梯度下分布于灌丛下和裸露地的齿肋赤藓植株,探究不同降水条件和微生境中齿肋赤藓非结构性碳水化合物(NSC)分配和灌丛效应的空间格局,以期揭示荒漠藓类植物对气候和微环境变化的响应机制。
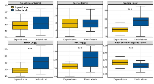
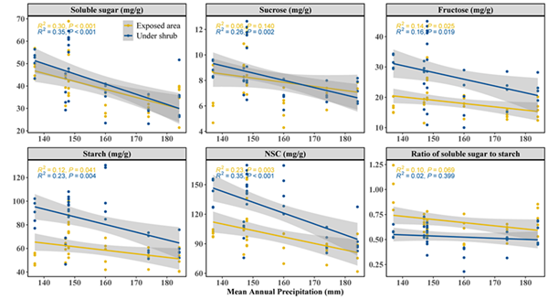
研究表明,齿肋赤藓总NSC及其各组分含量受灌丛效应、年降水和年均温的共同影响。灌丛的存在显著提高了齿肋赤藓果糖、淀粉和总NSC含量,降低了可溶性糖/淀粉。随着年均降水量的减少,齿肋赤藓总NSC、各组分含量以及可溶性糖/淀粉显著增加,两种微生境间(灌丛下和裸露地)的差异随着年均降水量的增加逐渐缩小,表明微生境的影响总体受气候(降水)变化的调控;而随着年均温的增加,两种微生境则表现出相反的结果。结构方程模型分析结果显示,气候和灌丛直接通过改善土壤养分间接影响了齿肋赤藓NSC含量。其中,灌丛的影响最为显著,其次是年均降水量,且随着年均降水量的减少灌丛效应逐渐增加。上述研究结果为理解不同微生境藓类植物抗逆性机制提供了新的见解。
相关研究成果以“Shrubs have a greater influence on the nonstructural carbohydrates of desert mosses along precipitation decreased”为题发表在Environmental and Experimental Botany,该研究得到了国家自然科学基金-新疆联合重点项目、中国科学院青年创新促进会及第三次新疆综合科学考察计划等项目的资助。
文章链接:https://doi.org/10.1016/j.envexpbot.2023.105530

图1 灌丛对齿肋赤藓非结构性碳水化合物及其组分含量的影响

图2 年均降水量对齿肋赤藓非结构性碳水化合物及其组分含量的影响

图3 影响齿肋赤藓非结构性碳水化合物的直接和间接驱动因素
附件下载: